• Предмет: Алгебра
  • Автор: miramirnaaa63
  • Вопрос задан 2 года назад

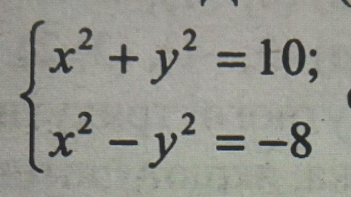
розв'язати систему рівнянь методом додавання ​

Приложения:

Ответы

Ответ дал: anna171770
1

Ответ:

Объяснение:

x² + y² + x² - y² = 10 + (-8)

2x² = 2

x² = 1

x = 1

y² = 10 - x²

y² = 10 - 1

y² = 9

y = 3

Відповідь: 1; 3.

Вас заинтересует