• Предмет: Алгебра
  • Автор: anastasia042010
  • Вопрос задан 2 года назад

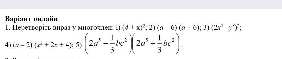
представте в виде мгогочлена
(2x²- y³)²
+номер 4 и 5 этого же задания​

Приложения:

Ответы

Ответ дал: inkwni
0

Ответ:

вот 5 и 4

Объяснение:

надеюсь правильно °^°

Приложения:
Вас заинтересует