• Предмет: Геометрия
  • Автор: varvaragladyr
  • Вопрос задан 2 года назад

Будь-ласка два завдання срочно!!!!

Приложения:

Ответы

Ответ дал: kirakirra
1

Ответ:

Объяснение:

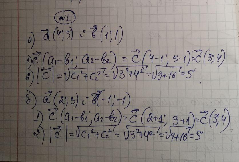
1 задание: а1 и а2 - координаты вектора а, b1 и b2 - координаты вектора b, c1 и с2 - координаты вектора с

2 задание: для того, чтобы изобразить разность векторов, нужно векторы привести с общему началу. Направление результирующего вектора будет направлено к началу того вектора, ОТ которого отнимаем

Приложения:
Вас заинтересует