• Предмет: Алгебра
  • Автор: egorsamoilov1337
  • Вопрос задан 2 года назад

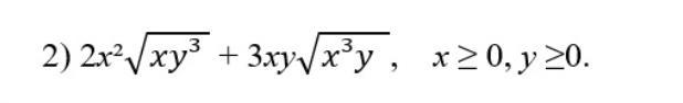
помогите пожалуйста с решением

Приложения:

Ответы

Ответ дал: dashulka22222
0

Объяснение:

2 {x}^{2}  \sqrt{x {y}^{3} }  + 3xy \sqrt{ {x}^{3}y }  = 2 {x}^{2}y \sqrt{xy}  + 3 {x}^{2} y \sqrt{xy}  = 5 {x}^{2} y \sqrt{xy}

Вас заинтересует