• Предмет: Алгебра
  • Автор: Аноним
  • Вопрос задан 2 года назад

срочно с решением плизз​

Приложения:

Ответы

Ответ дал: danelaitymova
0
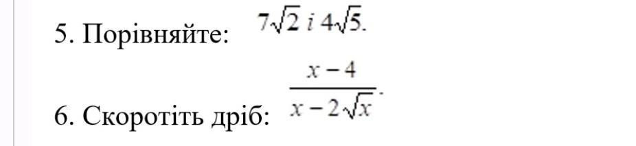
Во такой выйдет ответ(если что 5 это первое фото) (а 6 вопрос где сократить нужно второе фото )
Приложения:

danelaitymova: Я ошиблась :( 6 задание это фото то что я вставила
Вас заинтересует