• Предмет: Математика
  • Автор: gamehgplus
  • Вопрос задан 2 года назад

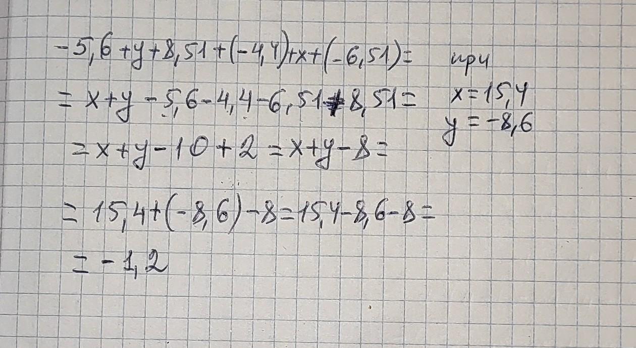
Упростите выражение и найдите его значение при

= 15,4, = −8,6:

−5,6 + + 8,51 + (−4,4) + + (−6,51)

Приложения:

DF7Feven: что?
DF7Feven: можно фото задания?

Ответы

Ответ дал: tetamotatetyamotya
0

Ответ:

вот решение

Пошаговое объяснение:

решение на фото

Приложения:
Ответ дал: iramazurk
0

Ответ:

-1,2

Пошаговое объяснение:

-5,6 + у + 8,51 + (-4,4) + х + (-6,51) =

-5,6 + у + 8,51 - 4,4 + х - 6,51 =

(-5,6 + 8,51 - 4,4 - 6,51) + х + у = -8 + х + у

х = 15,4; у = -8,6

-8 + х + у = -8 + 15,4 + (-8,6) = -8 + 15,4 - 8,6 = -1,2

Вас заинтересует