• Предмет: Математика
  • Автор: chrnikovaira11
  • Вопрос задан 2 года назад

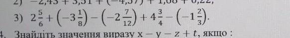
третье задание пожалуйста!!!​

Приложения:

Ответы

Ответ дал: noname0202929
0

Відповідь:

209/24

Покрокове пояснення:

Приложения:

chrnikovaira11: А можно по действиям?
Вас заинтересует