• Предмет: Математика
  • Автор: 06kutman20
  • Вопрос задан 2 года назад

35 баллов за решение​

Приложения:

Ответы

Ответ дал: himikomat
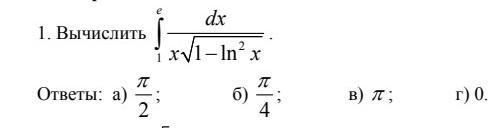
1

Ответ:

\int^e_1 \frac{dx}{x \sqrt{1-\ln^2 x}} &= \int^{\ln e}_{\ln 1} \frac{1}{\sqrt{1-u^2}}\,du \:  = \int_{ln \: 1}^{ln \: e} \frac{1}{\sqrt{-{u}^{2}+1}}du \\

пусть u=sin v

 \frac{d}{du} u =  \frac{d}{dv} sin \: v \\

du = cos \: v \: dv \\

\int_{ln \: 1}^{ln \: e} \frac{1}{\sqrt{-{u}^{2}+1}}du = \int_{ln 1}^{\frac{\pi}{2}}1 dv \\

\int{1dv} = v \\

 \frac{\pi}{2}  \\

Вас заинтересует