• Предмет: Математика
  • Автор: baobab3004
  • Вопрос задан 2 года назад

Помогите пожалуйста срочно

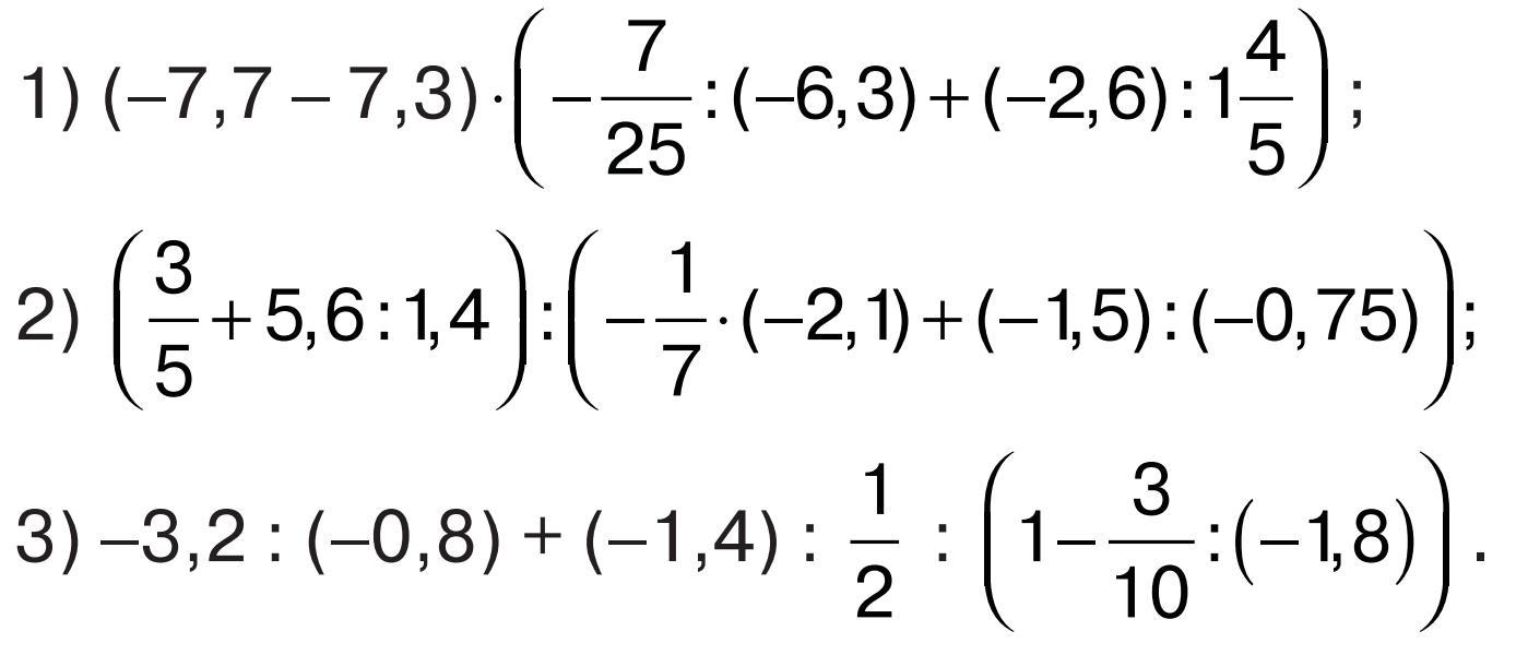
Приложения:

Ответы

Ответ дал: aishaaaali200
0

Ответ:

1)75/104 75 снизу и 104 сверху

2) 23/50

Вас заинтересует