• Предмет: Математика
  • Автор: zinenko961
  • Вопрос задан 2 года назад

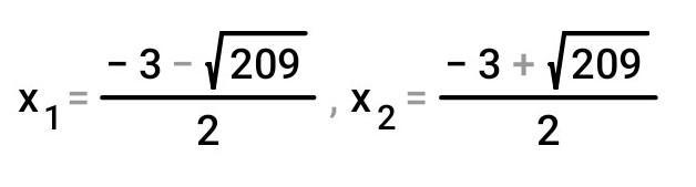
Решить ур log2(x^2+3x)=2

Ответы

Ответ дал: katagrebelnik
0

.....................

Приложения:

katagrebelnik: это ответ
zinenko961: Варианты ответов 1)-4: 3 ,2) 4; 3 3)-4; 1 4) 1; 3 какой праильн
Вас заинтересует