ТЕРМІНОВО!!!!!!!!!!!
С++
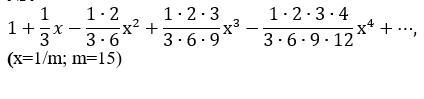
Написати програму з функцією, яка обчислює нескінчену суму.
Завдання на фото
Приложения:




Ответы
Ответ дал:
1
сума = 1 + 1/2 + 1/3 + 1/4 + ... + 1/n + ...
#include <iostream>
using namespace std;
double infiniteSum() {
double sum = 0;
int i = 1;
while (true) {
sum += 1.0 / i;
i++;
}
return sum;
}
int main() {
double sum = infiniteSum();
cout << "Нескінченна сума: " << sum << endl;
return 0;
}
вроде так, если что я перепишу
Вас заинтересует
1 год назад
1 год назад
1 год назад
1 год назад
3 года назад
3 года назад
8 лет назад