• Предмет: Математика
  • Автор: pasalenko20
  • Вопрос задан 2 года назад

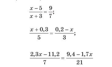
Допоможіть будь ласка

Приложения:

xhdbdudhs: напиши свой инст,там решу,данное сообщение не имеет никакой личной информации

Ответы

Ответ дал: DMXdidCNNhaSryifdc
1

Пошаговое объяснение:

ну надеюсь что правельно, а так ну не знаю

Приложения:
Вас заинтересует