• Предмет: Математика
  • Автор: nastyamurovceva2407
  • Вопрос задан 2 года назад

помогите пожалуйста!​

Приложения:

Ответы

Ответ дал: сок111213
0

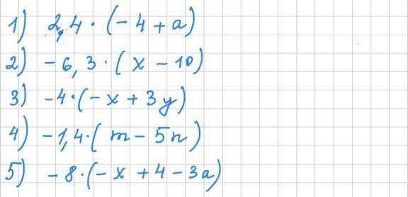
2.4( - 4 + a) =  - 9.6 + 2.4a \\  - 6.3(x - 10) =  - 6.3 + 63 \\  - 4( - x + 3y) = 4x - 12y \\  - 1.4(m - 5n) =  - 1.4m + 7n \\  - 8( - x + 4 - 3a) = 8x - 32 + 24a

Вас заинтересует