Ответы
Ответ дал:
1
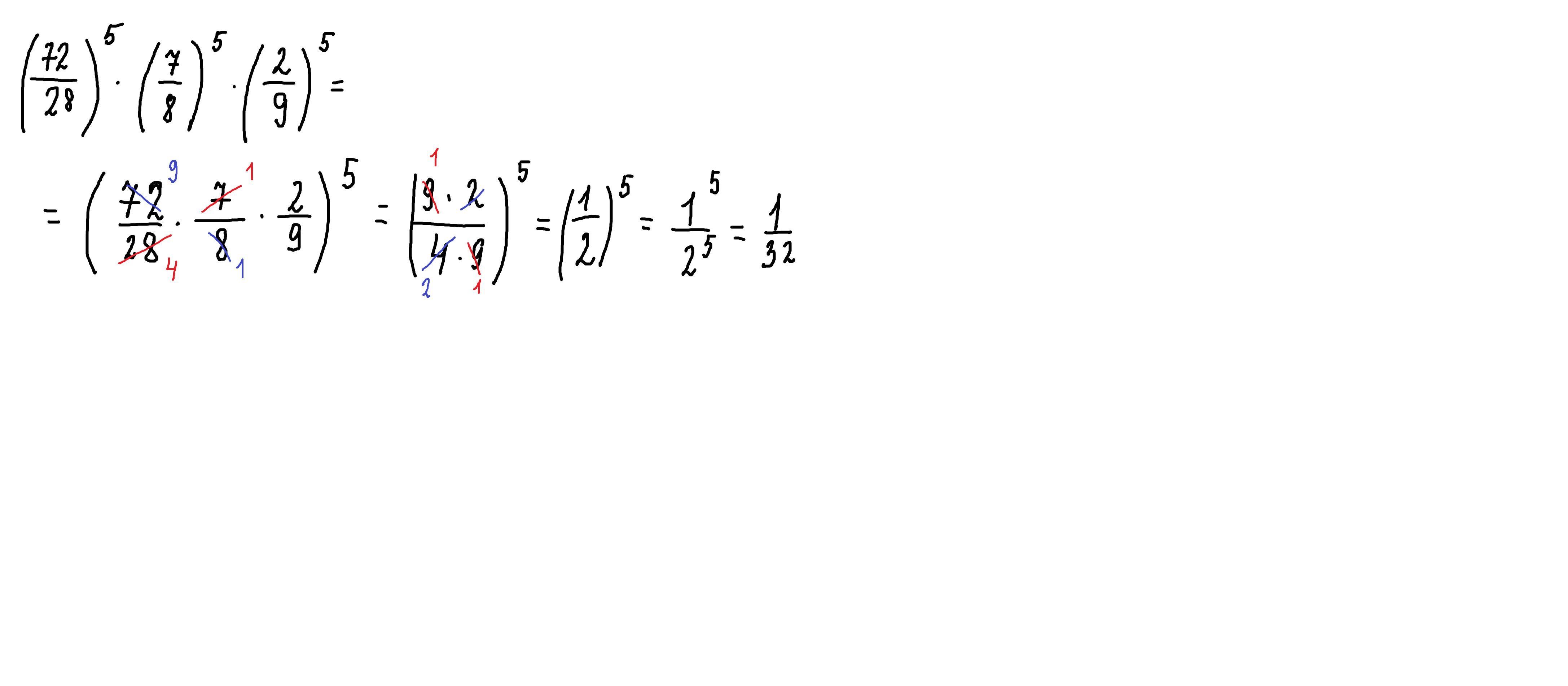
Відповідь: 1/32.
Пояснення:
parus77:
очень усложнили решение,можно намного проще.
Ответ дал:
1
Ответ:
Объяснение:
решение внизу
Приложения:

Вас заинтересует
1 год назад
1 год назад
1 год назад
3 года назад
3 года назад
8 лет назад