• Предмет: Алгебра
  • Автор: zinchenko30
  • Вопрос задан 2 года назад

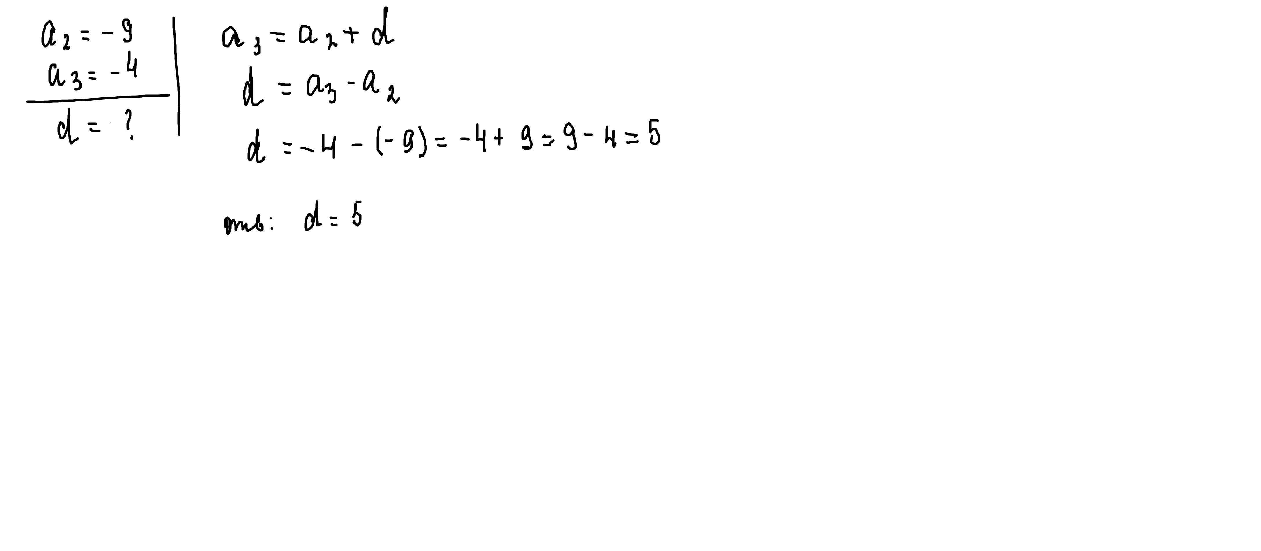
a2=-9
a3=-4
d-?
арефметична прогресія


HSS9860: +5
Аноним: напиши свой инст,там решу,данное сообщение не имеет никакой личной информации

Ответы

Ответ дал: parus77
1

Ответ:

d=5

Объяснение:

решение внизу

Приложения:
Ответ дал: TanomiU
0

Ответ:

d =5

Объяснение:

Разность арифметической прогрессии d равна:

d = aₙ₊₁ - aₙ

d = a₃ - a₂ = -4 - (-9) = -4 + 9 = 5

d = 5

Вас заинтересует