Розкладіть многочлени на множники:
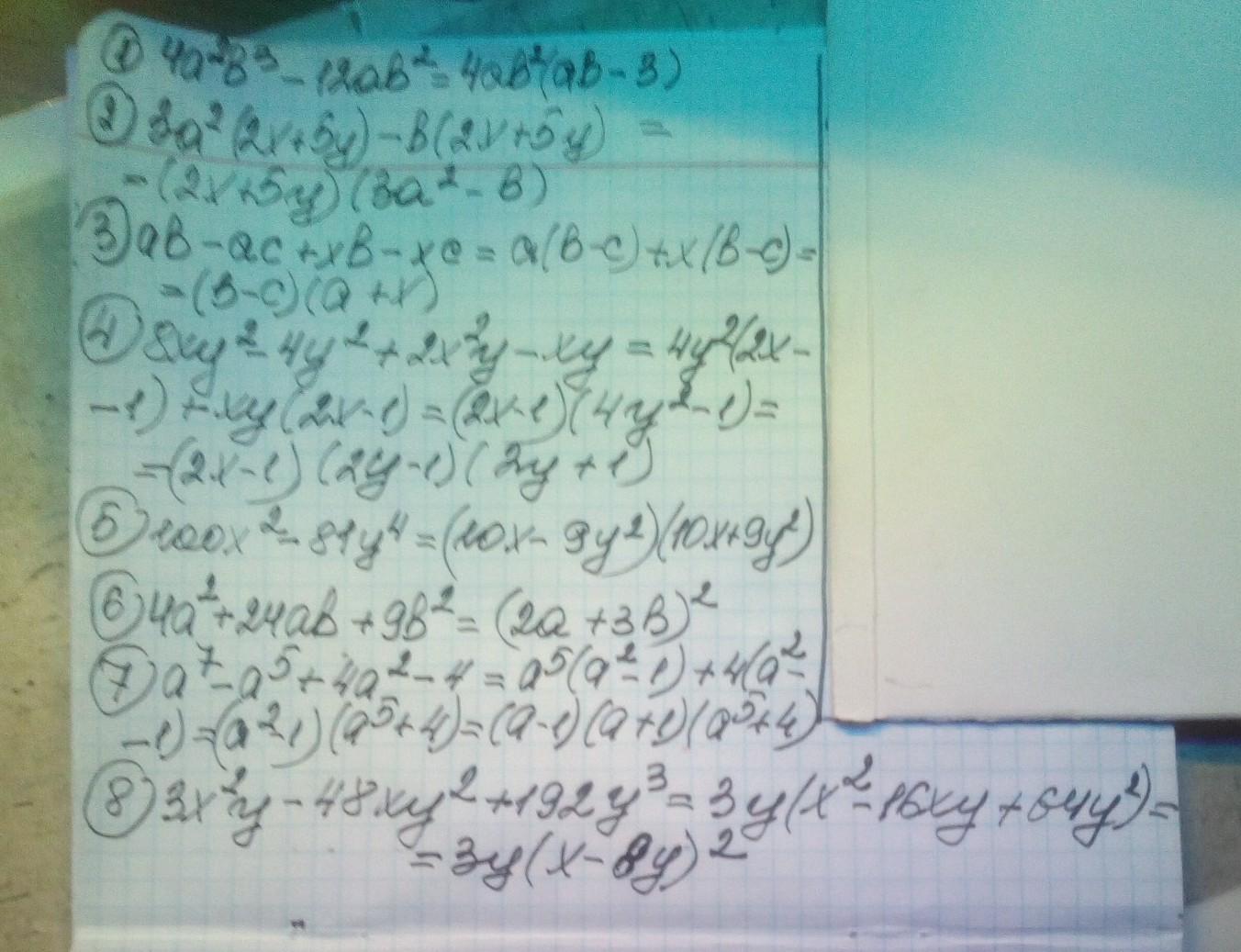
1) 4a^2b^3 - 12ab^2 2) 3a^2(2x+5y) - b(2x + 5y)
3)ab - ac + xb -xc 4) 8xy^2 - 4y^2 + 2x^2y -xy 5) 100x^2 - 81y^4 6) 4a^2 + 24ab + 9b^2 7) a^7 - a^5 + 4a^2 - 4 8) 3x^2y - 48xy^2 + 192y^3. ПОМОЖІТЬ ПОЖАЛУСТА
Ответы
Ответ дал:
0
Ответ:
решение смотри на фотографии
Приложения:

gjruiwhiub:
Спасибо
Вас заинтересует
1 год назад
1 год назад
1 год назад
1 год назад
3 года назад