• Предмет: Алгебра
  • Автор: alisergogo5
  • Вопрос задан 2 года назад

Помогитее пж пж
Слишком сложно

Приложения:

Ответы

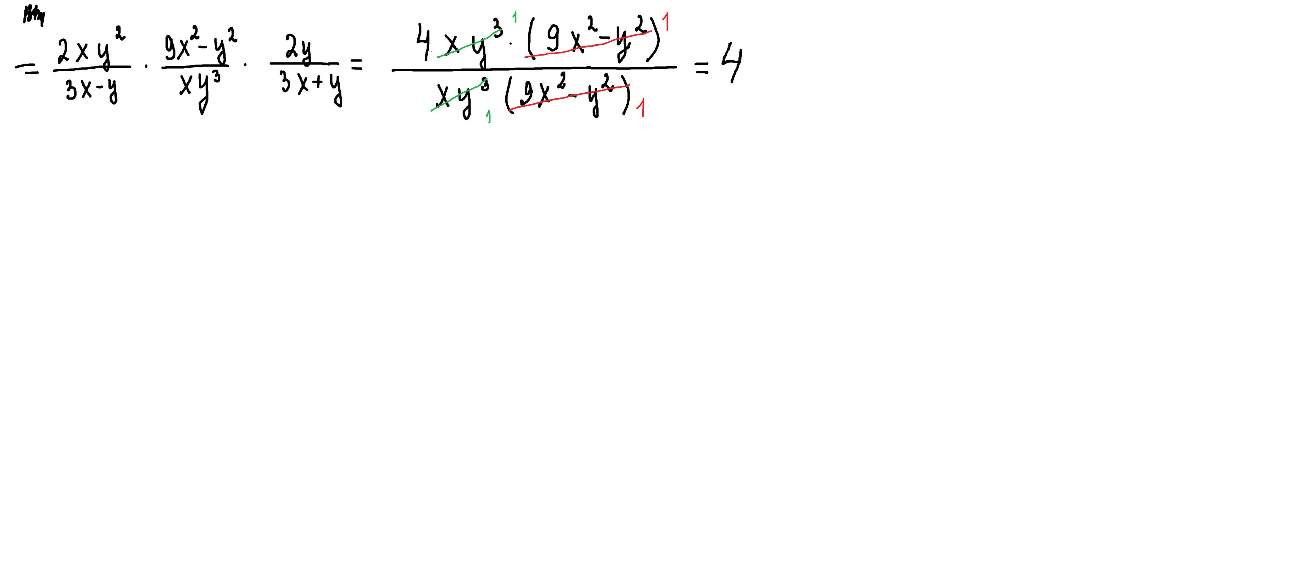
Ответ дал: Kormash
1
Все на фото внизу
___________
Приложения:

alisergogo5: Спс
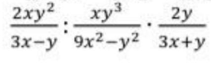
Ответ дал: parus77
1

Ответ:

4

Объяснение:

а²-в²= (а-в)(а+в)  решение внизу

при умножении степеней с одинаковыми основаниями показатели складываются

Приложения:
Вас заинтересует