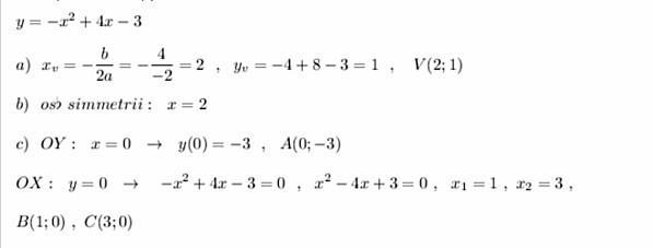
1. [6 балло] Дана функция: у=-x³ + 4x - 3 а) запишите координаты вершины параболы: b) запишите ось симметрии параболы: с) найдите точки пересечения графика с осями координат; d) постройте график функции. е) определите, в каких четвертях находится график функции:
Ответы
Ответ дал:
1
е) график находится в 1 , 3 , 4 четвертях
Приложения:


Вас заинтересует
1 год назад
1 год назад
3 года назад
3 года назад
8 лет назад