• Предмет: Геометрия
  • Автор: Ejik17
  • Вопрос задан 10 лет назад

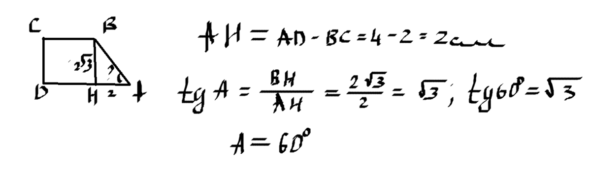
abcd- прямоуг трапеция ( угол d=c=90 градусов) bc=2 ad=4 cd= 2 корня трех
Найти угол а

Ответы

Ответ дал: Аноним
0
.................................................
Приложения:
Ответ дал: Аноним
0
Надеюсь понятно)
Ответ дал: Ejik17
0
Да, благодарю!
Вас заинтересует