• Предмет: Математика
  • Автор: denis9295
  • Вопрос задан 2 года назад

Хелп! Срочно! Помогите математика 6 клас

Приложения:

Ответы

Ответ дал: сок111213
1

Решение на прикреплённой фотографии

Приложения:
Ответ дал: kristinagrifluk
1

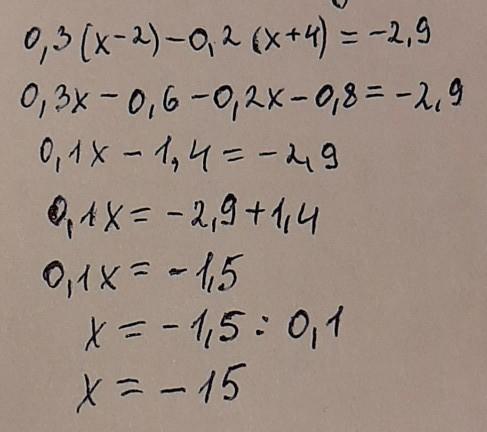
Ответ:

0,3х-0,6-0,2х-0,8=-2,9

0,1х-1,4= -2,9

0,1х= -2,9+1,4

0,1х= -1,5

х= -1,5:0,1

х= -15

Пошаговое объяснение:

вроде как правильно

Вас заинтересует