• Предмет: Геометрия
  • Автор: vikalenicaa75
  • Вопрос задан 2 года назад

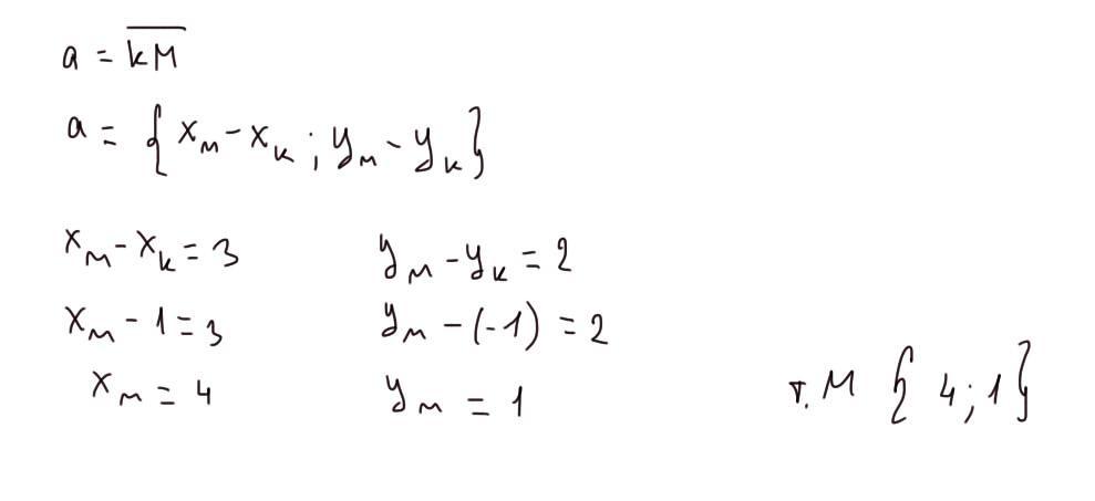
Відомо що а=КМ. Знайдіть координати точки М, якщо К(1;-1),а(3;2). Дуже потрібна допомога.Якщо можна то фото

Приложения:

Warlock1: а можно фото задания? непонятно что значит а=КМ.

Ответы

Ответ дал: Warlock1
1

Ответ:

тогда так

Объяснение:

Приложения:
Вас заинтересует