• Предмет: Алгебра
  • Автор: dmitrorog
  • Вопрос задан 2 года назад

Даю 50 балів, обов'язково з розв'язанням ​

Приложения:

Ответы

Ответ дал: manyny06
0

Ответ:

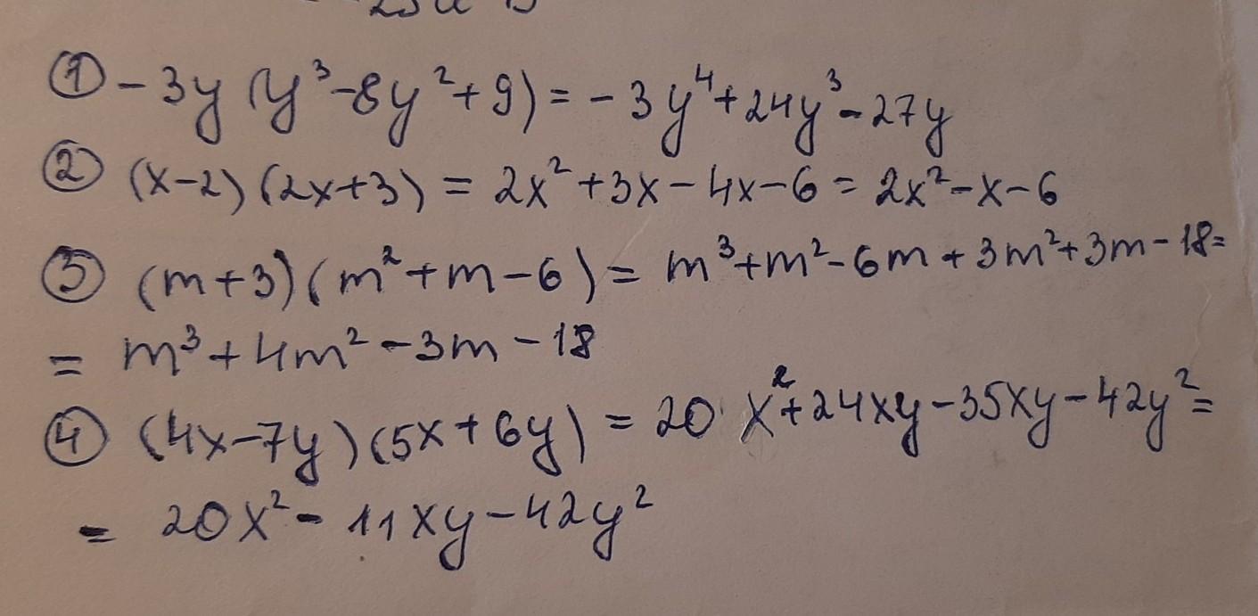
решение смотри на фотографии

Приложения:
Ответ дал: сок111213
1

Решение на прикреплённой фотографии

Приложения:
Вас заинтересует