Ответы
Ответ дал:
1
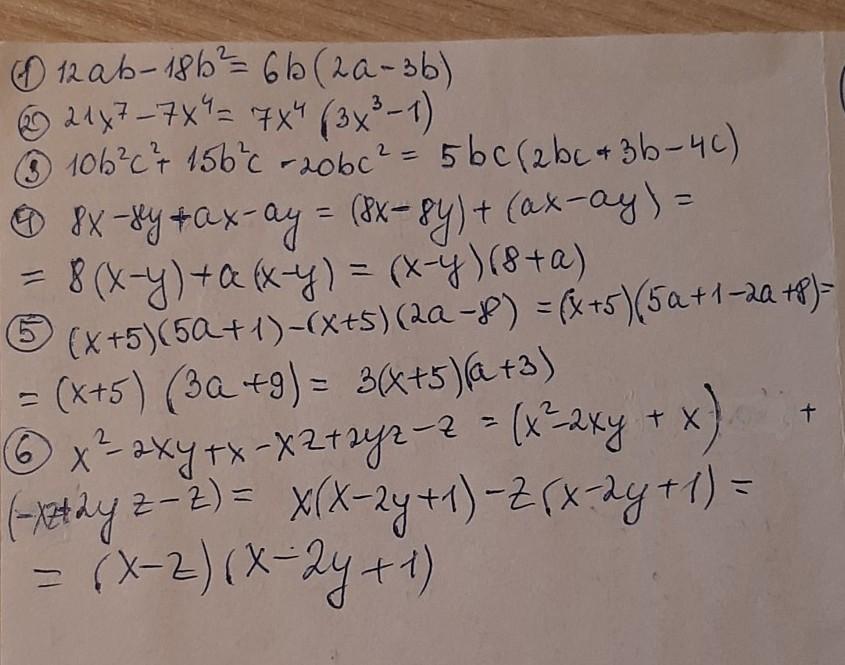
Решение на прикреплённой фотографии
Приложения:

Вас заинтересует
1 год назад
1 год назад
3 года назад
8 лет назад