Спростіть вираз та підкресліть його коефіцієнт:
приклади нижще
Приложения:

Аноним:
дам спасибо и 5 звезд
Ответы
Ответ дал:
1
Ответ:
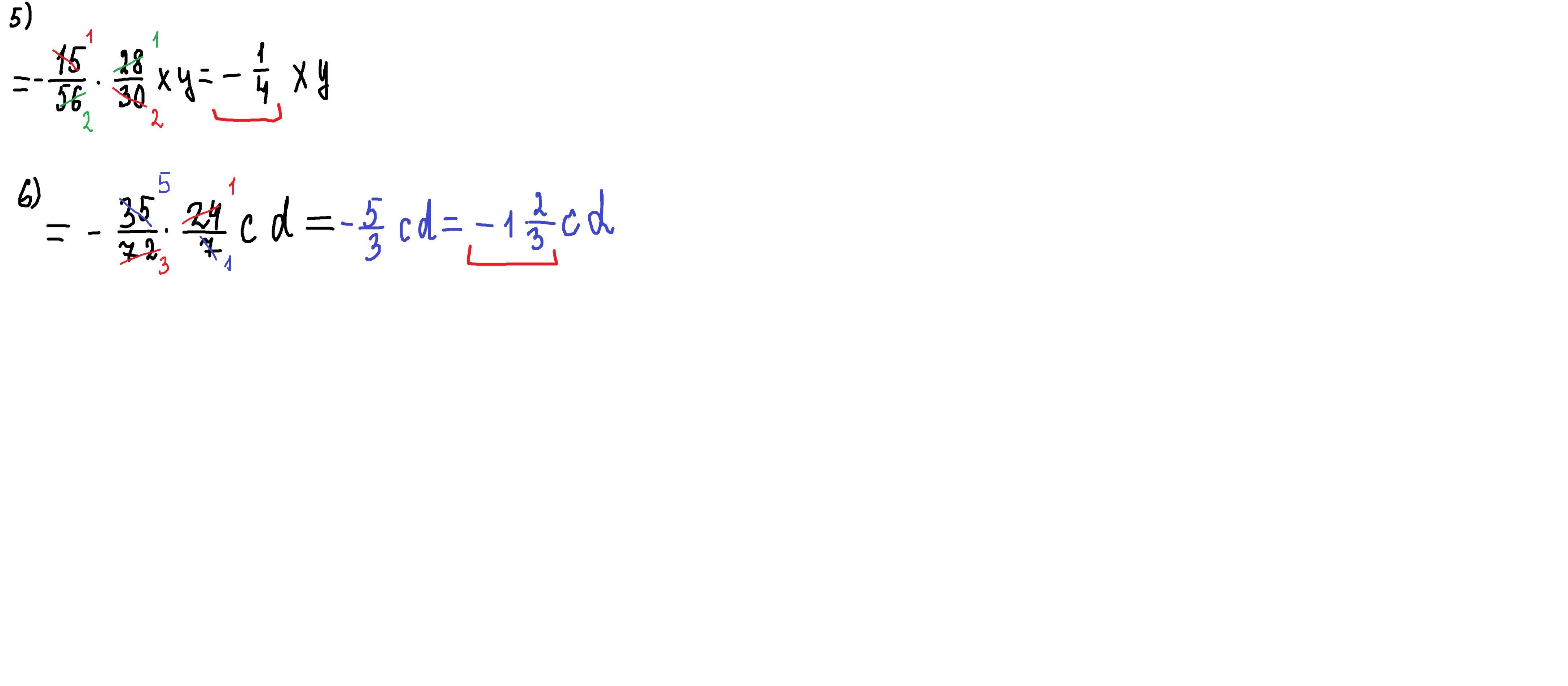
5) коэффициент -1/4 6)коэффициент -1 2/3
Пошаговое объяснение:
Приложения:

Вас заинтересует
1 год назад
1 год назад
3 года назад
3 года назад
8 лет назад
8 лет назад