• Предмет: Алгебра
  • Автор: millynwanze
  • Вопрос задан 2 года назад

будь ласочка, допоможіть, даю 60 балів​

Приложения:

Ответы

Ответ дал: sstavridka
1

Ответ:

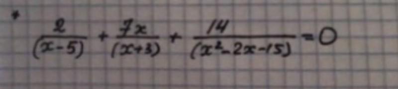
 \frac{2}{x - 5}  +  \frac{7х}{x + 3}  +  \frac{14}{ {x}^{2} - 2x - 15 }  = 0

решим уравнение из знаменателя

 {x}^{2}  - 2x - 15 = 0 \\ x1 = 5 \\ x2 =  - 3

таким образом

х≠5

х≠-3

приведем к общему знаменателю

2(x + 3) + 7х(x - 5) + 14 = 0

2x + 6 + 7x² - 35х + 14 = 0

7х²-33х+20=0

Д=33²-4*7*20=529

х1=5/7

х2=4

Ответ дал: Evgenia4836
0

Ответ:

Объяснение:

ОДЗ:

x≠5

x≠-3

Решение:

\frac{2}{x-5}+\frac{7x}{x+3}+\frac{14}{(x-5)(x+3)}=0

\frac{2(x+3)+7x(x-5)+14}{(x-5)(x+3)} =0

2x+6+7x²-35x+14=0

7x²-33x+20=0

D= 1089-560=529

x1= (33-23)/14= 5/7

x2= (33+23)/14= 4

Ответ: x1= 5/7, x2= 4

Вас заинтересует