• Предмет: Алгебра
  • Автор: nadzoepodnal
  • Вопрос задан 2 года назад

Алгебра даю 60 балов

Приложения:

Ответы

Ответ дал: sstavridka
1

Ответ:

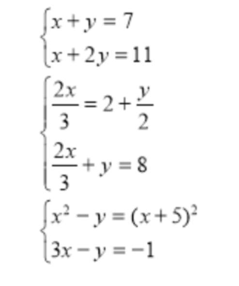
1

x= 3

y=4

2

x=6

y=4

3

x=-2

y=-5

Приложения:
Вас заинтересует