• Предмет: Геометрия
  • Автор: liubovverrs
  • Вопрос задан 2 года назад

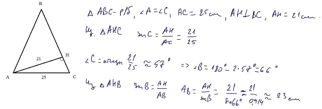
Основа рівнобедреного трикутника дорівнює 25 см, а ви­сота, проведена до бічної сторони, 21 см. Знайти бічну сто­рону та кут між бічними сторонами трикутника

з малюнком будь ласка)

Ответы

Ответ дал: Warlock1
1

Ответ:

23см, 66°

Объяснение:

Приложения:
Вас заинтересует