• Предмет: Алгебра
  • Автор: PaintNavernoe
  • Вопрос задан 2 года назад

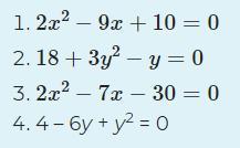
Вибрати таке квадратне рівняння, коренями якого є числа 3+\sqrt{5} і 3-\sqrt{5}

Приложения:

Ответы

Ответ дал: dobra888
0

Відповідь:        4 .  4 - 6у + у² = 0 .  

Пояснення:

  Легко перевірити за теоремою Вієта , що числа 3 + √5 і 3 - √5

  є коренями рівняння   4 .  4 - 6у + у² = 0 .

Вас заинтересует