Ответы
Ответ дал:
1
Ответ:
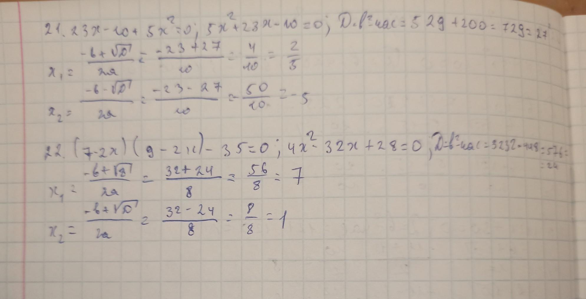
всё на фото
Объяснение:
Делал всё с помощью дискриминанта.
Приложения:



laleg592:
спасибо большое
Вас заинтересует
1 год назад
1 год назад
1 год назад
1 год назад
3 года назад
3 года назад
8 лет назад