• Предмет: Математика
  • Автор: skvizersteam
  • Вопрос задан 2 года назад

Срочно допоможіть!!!!​

Приложения:

Ответы

Ответ дал: сок111213
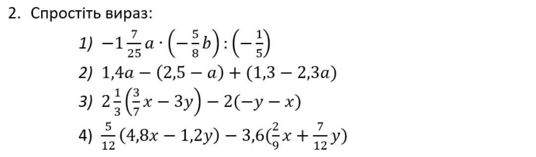
1

 - 1 \frac{7}{25} a \times ( -  \frac{5}{8} b) \div ( -  \frac{1}{5} ) =  \\  -  \frac{32 \times 5 \times 5}{25 \times 8}  ab=  - 4ab

1.4a - (2.5 - a) + (1.3 - 2.3a) =  \\ 1.4a - 2.5 + a + 1.3 - 2.3a =  \\ 0.1a - 1.2

2 \frac{1}{3} ( \frac{3}{7} x - 3y) - 2( - y - x) =  \\  \frac{7 \times 3}{3 \times 7} x -  \frac{7 \times 3}{3} y  + 2y + 2x =  \\ x - 7y + 2y + 2x = 3x - 5y

 \frac{5}{12} (4.8x - 1.2y) - 3.6( \frac{2}{9} x +  \frac{7}{12} y) =  \\  \frac{5 \times 24}{12 \times 5} x -  \frac{5 \times 12}{12 \times 10} y -  \frac{18 \times 2}{5 \times 9} x -  \frac{18 \times 7}{5 \times 12} y =  \\ 2x - 0.5y - 0.8x - 2.1y = 1.2x - 2.6y

Вас заинтересует