Ответы
Ответ дал:
1
Решение на прикреплённой фотографии
Приложения:

Ответ дал:
0
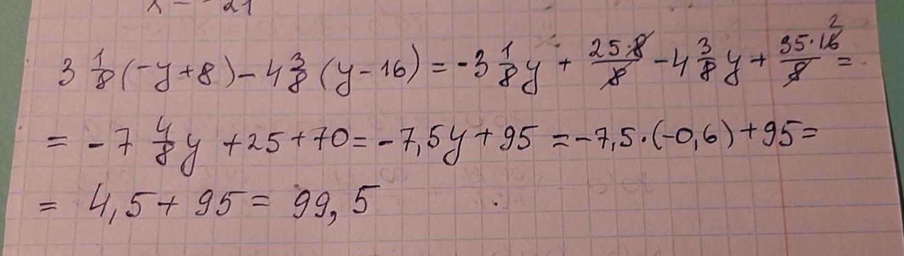
Пошаговое объяснение:
3 1/8(-у + 8) - 4 3/8(у - 16) =
25/8(-у + 8) - 35/8(у - 16) =
-25/8у + 25 - 35/8у + 70 =
-60/8у + 95 = -7,5у + 95
у = -0,6
-7,5у + 95 = -7,5 * (-0,6) + 95 = 4,5 + 95 = 99,5
Вас заинтересует
1 год назад
1 год назад
1 год назад
1 год назад
3 года назад
3 года назад
8 лет назад