• Предмет: Математика
  • Автор: shvindinaira
  • Вопрос задан 2 года назад

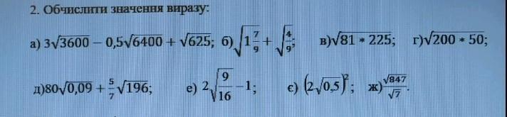
2. Обчислити значення виразу: a) 3√3600 -0,5√6400+ √625; 6) д)80√0,09 + -√196; 9 e) 2 16 1 + -1; В)√81 c) (2/os); * 225; г)√200*50; √847 ж)V847 √7​

Приложения:

Ответы

Ответ дал: Iznos1k
1

Ответ:

а 2 б 12 в 18 г 27 вроде так далее незнаю

Пошаговое объяснение:

Вас заинтересует