• Предмет: Математика
  • Автор: ubuzyreva
  • Вопрос задан 2 года назад

помогите пожалуйста(((((

Приложения:

Ответы

Ответ дал: сок111213
0

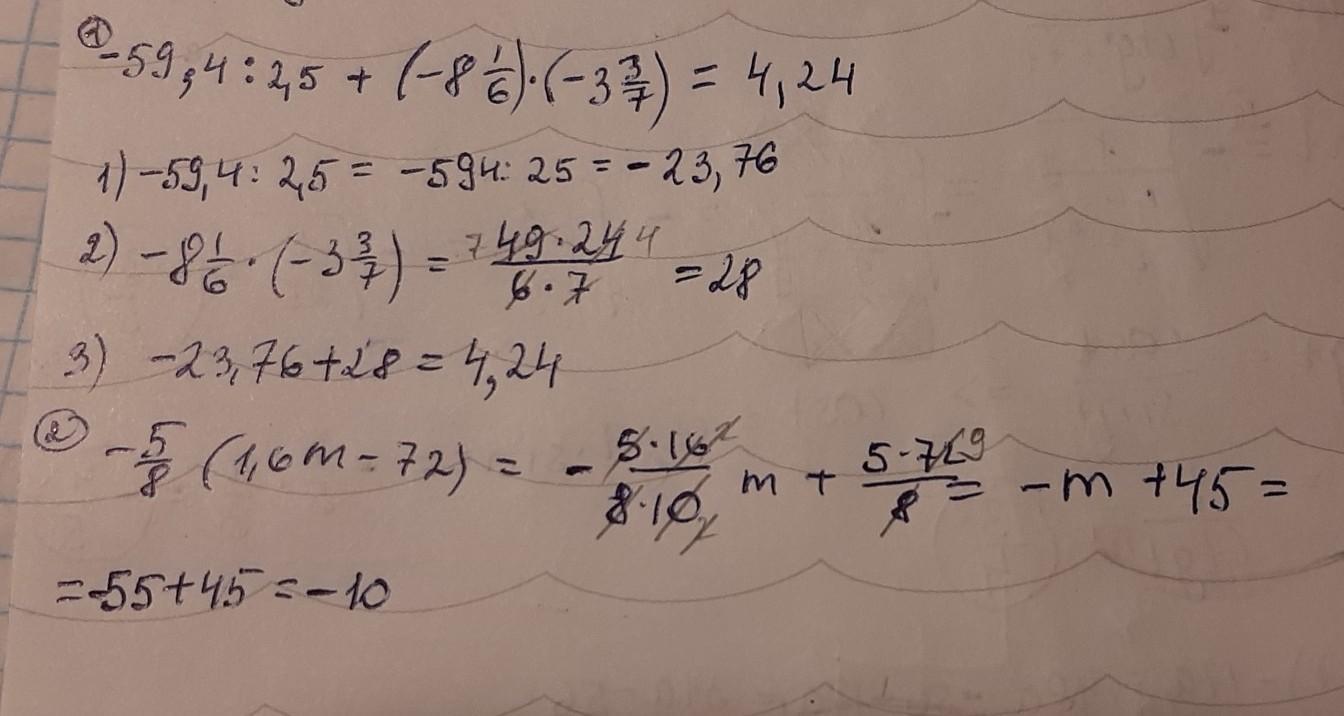
Решение на прикреплённой фотографии

Приложения:
Вас заинтересует