• Предмет: Математика
  • Автор: tmargo318
  • Вопрос задан 2 года назад

Даю 100 баллов.
Сума двох чисел дорівнює 10, а їх добуток дорівнює -24. Знайди ці числа

Ответы

Ответ дал: Пеппер
1

Ответ:

-2 і 12

Пошаговое объяснение:

Нехай дані числа х та у, тоді за умовою

х+у=10

х*у=-24

х=10-у

(10-у)*у=-24;  10у-у²+24=0;  у²-10у-24=0; за теоремою Вієта у=-2;  у=12.

при у=-2  х=12;  при у=12   х=-2

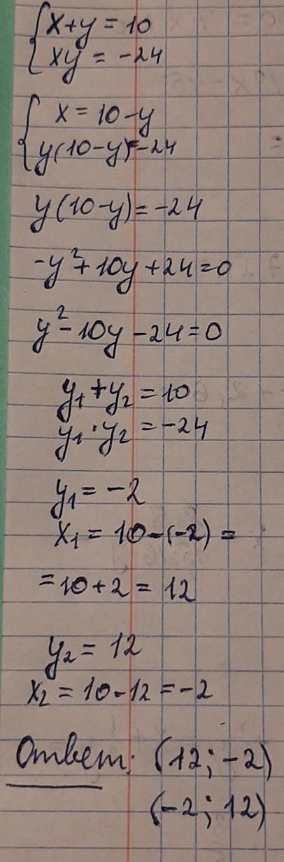
Ответ дал: сок111213
2

Решение на прикреплённой фотографии

Ответ: -2 и 12

Приложения:
Вас заинтересует