• Предмет: Математика
  • Автор: deseciw760
  • Вопрос задан 2 года назад

СРОЧНО ПОЖАЛУЙСТА СРОЧНО ПРОШУСРОЧНО ПОЖАЛУЙСТА СРОЧНО ПРОШУСРОЧНО ПОЖАЛУЙСТА СРОЧНО ПРОШУСРОЧНО ПОЖАЛУЙСТА СРОЧНО ПРОШУ

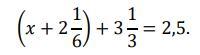
(х + 2 1/6 ) + 3 1/3 = 2,5.

Приложения:

Ответы

Ответ дал: сок111213
1

Решение на прикреплённой фотографии

Приложения:
Вас заинтересует