• Предмет: Математика
  • Автор: Arsenyascool
  • Вопрос задан 2 года назад

Помогите пожалуйста (даю 36 балов)

Приложения:

Ответы

Ответ дал: сок111213
0

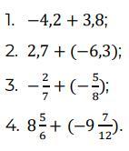
 - 4.2 + 3.8 =  - 0.4

2.7 + ( - 6.3) = 2.7 - 6.3 =  - 3.6

 -  \frac{2}{7}  + ( -  \frac{5}{8} ) =  -  \frac{2}{7}  -  \frac{5}{8}  = \\   -  \frac{16}{56  } -  \frac{35}{56} =  -  \frac{51}{56}

8 \frac{5}{6}  + ( - 9 \frac{7}{12} ) = 8 \frac{10}{12 }  - 9 \frac{7}{12}  =  \\ 8 \frac{10}{12}  - 8 \frac{19}{12}  =  -  \frac{9}{12}  =  -  \frac{3}{4}  =  - 0.75

Ответ дал: Аноним
1

1) -4,2 + 3,8 = -0,4

2) 2,7 + (-6,3) = 2,7 - 6,3 = -3,6

3) (-2/7) + (-5/8) = - ((2×8+5×7)/56) = - 51/56

4) 8 5/6 + (-9 7/12) = 106/12 - 115/12 = -9/12 = -3/4 = -0,75

Вас заинтересует