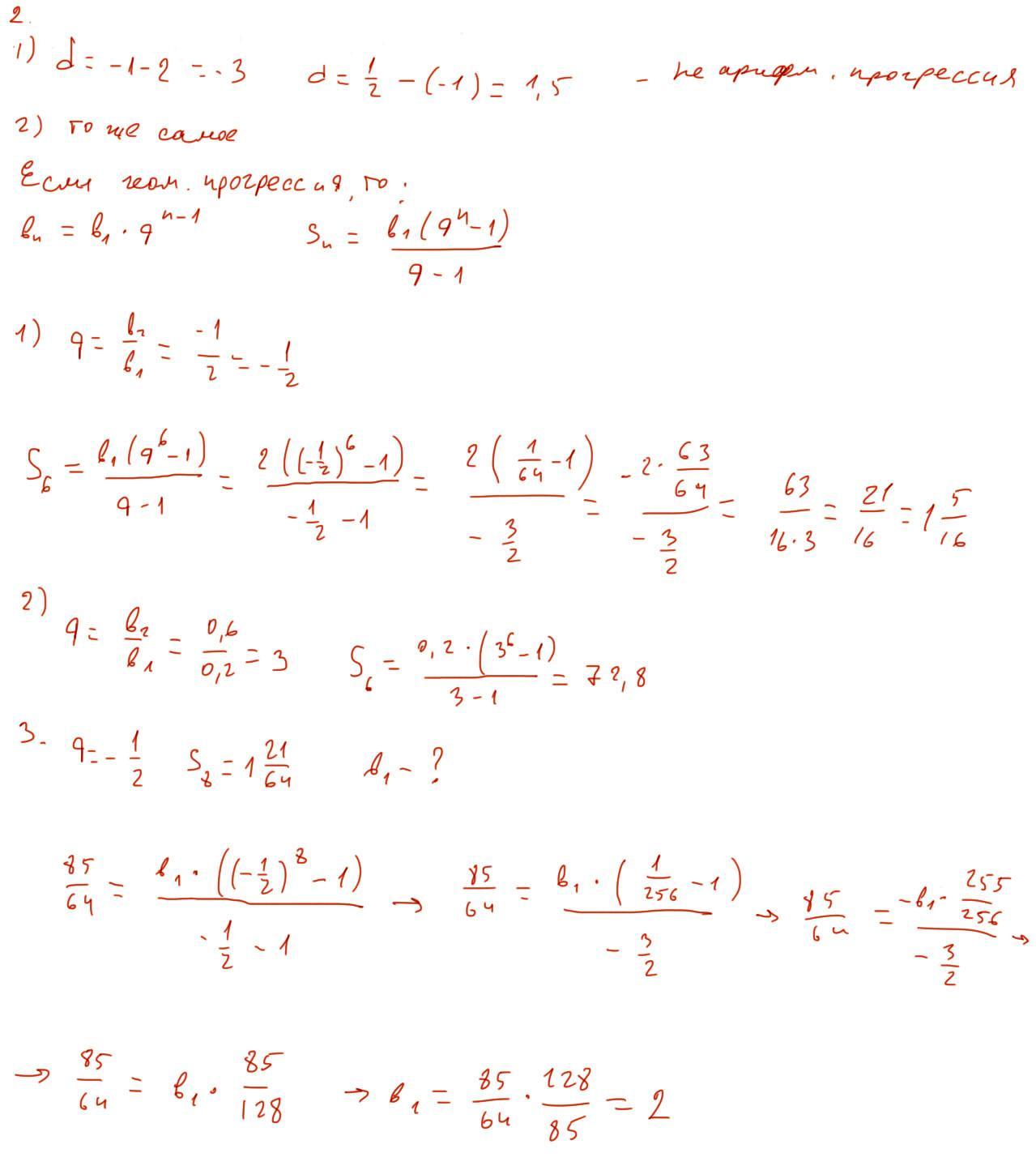
Знайдіть суму перших шести членів арифметичної прогресії:
1) 2; -1; 1/2;...
2)0,2; 0,6; 1,8;...
Знайдіть перший член геометричної прогресії зі знаменником -1/2, якщо сума перших восьми членів дорівнює 1 21/64
Терміново, даю 40 балів
Приложения:
Warlock1:
в 2 должно быть опечатка. это не арифметичская прогрессия
Ответы
Ответ дал:
1
Ответ:
типа того
Объяснение:
Приложения:
Вас заинтересует
1 год назад
1 год назад
1 год назад
1 год назад
3 года назад
3 года назад
8 лет назад
8 лет назад