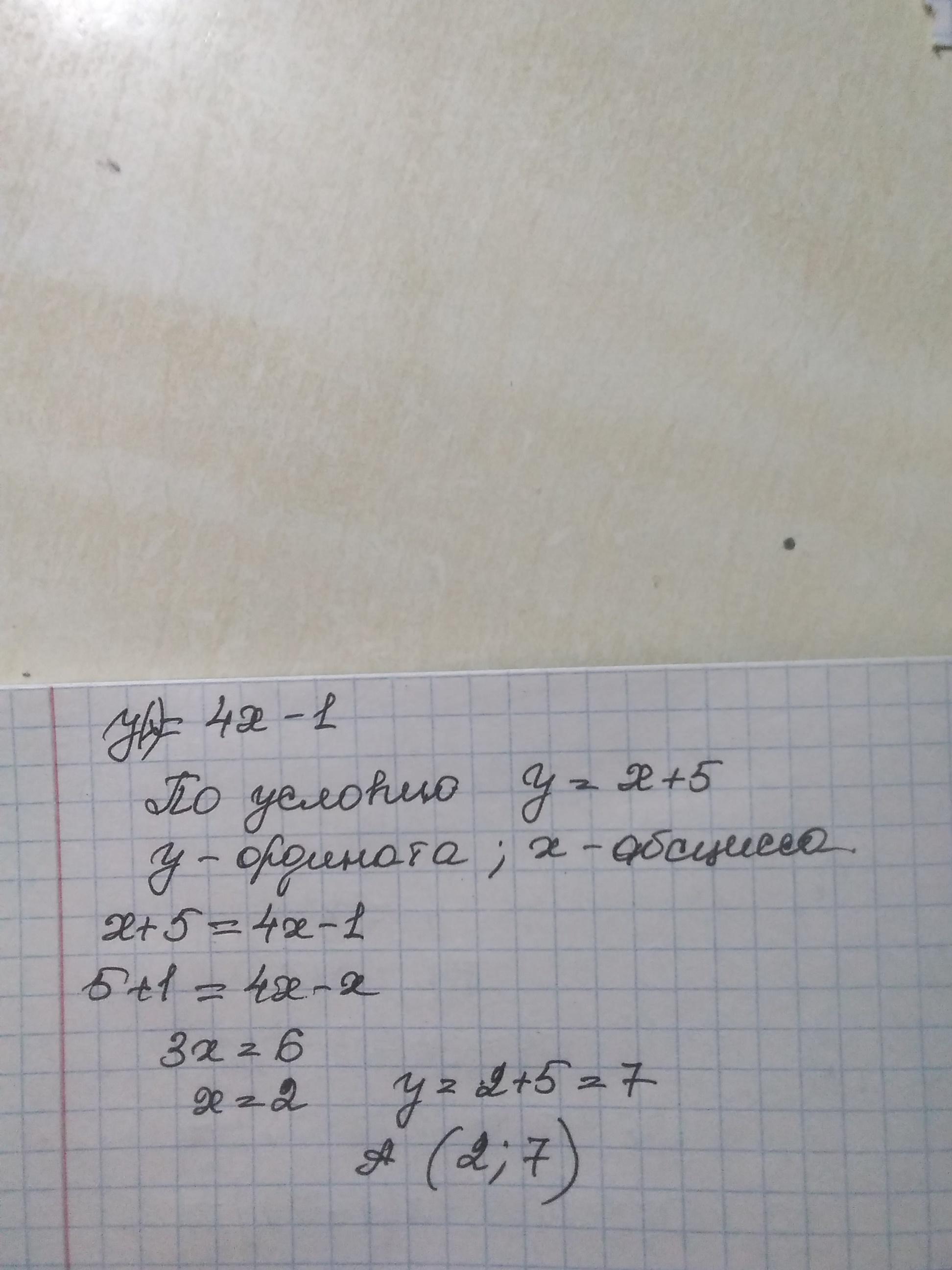
не виконуючи побудови графіка функції y(x)=4x-1, вкажіть кординати точки A цього графіка у якої ардината на 5 більше за абцису
Ответы
Ответ дал:
1
Смотри...................
Приложения:

Вас заинтересует
1 год назад
1 год назад
3 года назад
8 лет назад