• Предмет: Математика
  • Автор: dghxfgji8
  • Вопрос задан 2 года назад

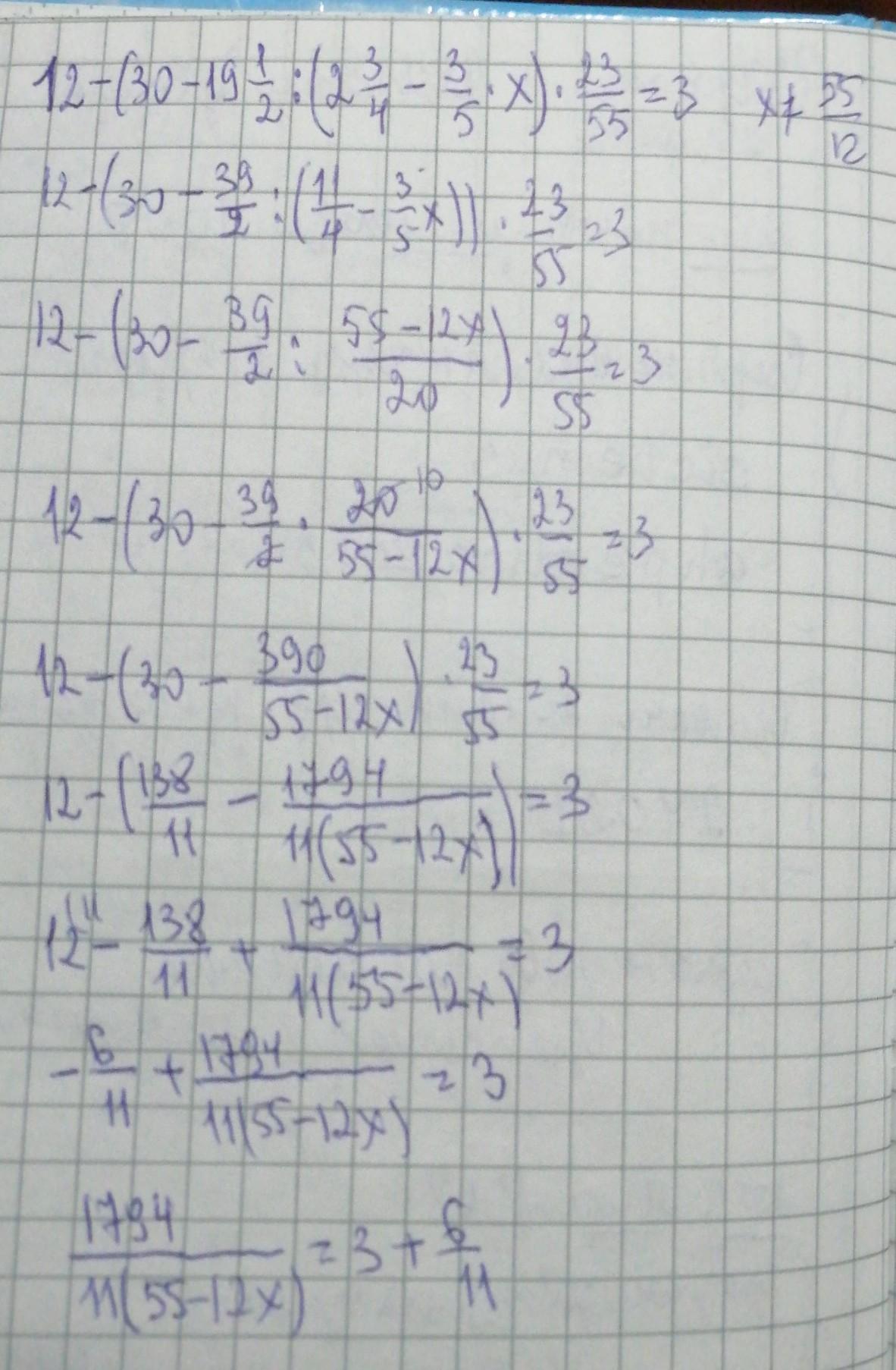
Срочно пожалуйста помогите решить уравнение! буду очень благодарна, заранее огромное спасибо!​

Приложения:

Ответы

Ответ дал: ludmilaksenija2005
1

Ответ:

3/4

Пошаговое объяснение:

решение на фото.ответ : 3/4

Приложения:
Вас заинтересует