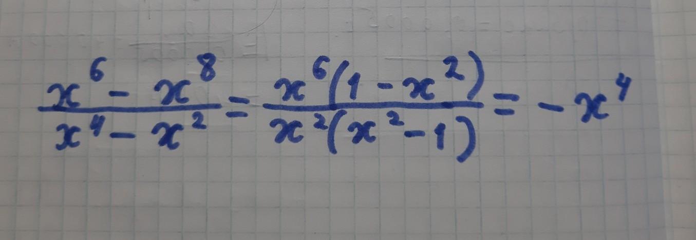
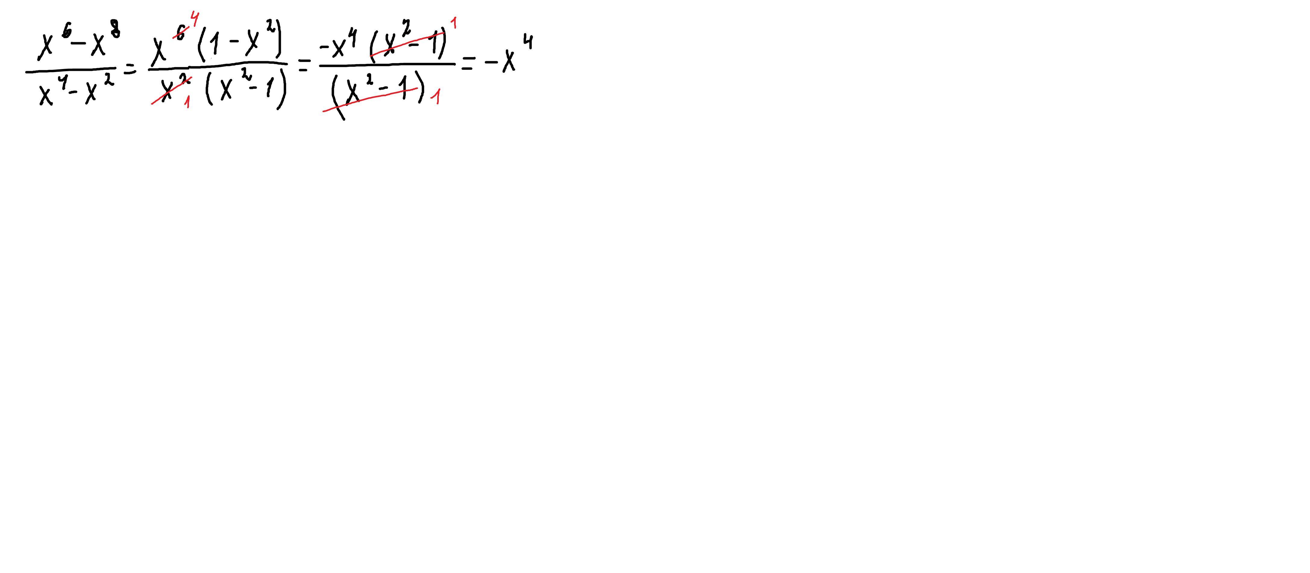
Сократите дробь: х⁶ - х⁸/х⁴ - х²
ВикаБач:
??? Видимо, имеется в виду (х⁶ - х⁸)/(х⁴ - х²) =х⁶(1-х²)/х²(х²-1)=-x^4; ?????
Ответы
Ответ дал:
0
Ответ:
Смотри в прикреплённом фото
Приложения:

Ответ дал:
0
Ответ:
-х⁴
Объяснение:
Приложения:

Вас заинтересует
1 год назад
1 год назад
3 года назад
8 лет назад