В арифметичній прогресії (ап) ag = 12,1; а20 = 49,5. Визначити:а10 та суму членів цієї прогресії з 10-го до 21-го
parus77:
ag = 12,1; это какой член?
бл, щаа
8. В арифметичній прогресії (аn)
a9 = 12,1; a20 = 49,5.
Визначити: а10 та суму членів цієї прогресії з 10-го до 21-го включно.
a9 = 12,1; a20 = 49,5.
Визначити: а10 та суму членів цієї прогресії з 10-го до 21-го включно.
помоги пожвлуйста
Ответы
Ответ дал:
0
Ответ:
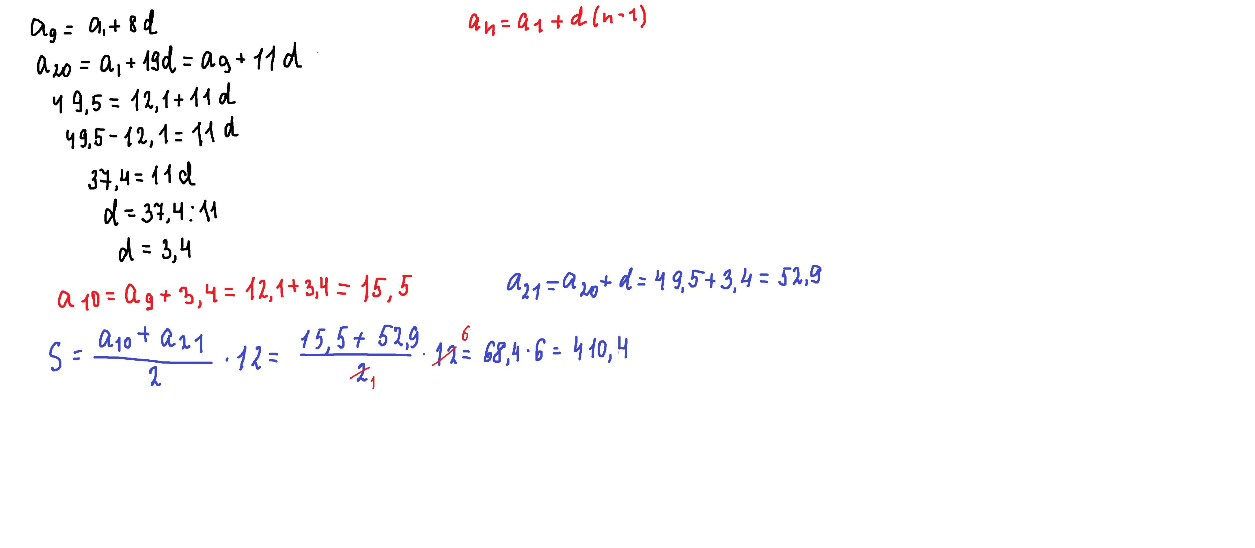
а10=15,5 S=410,4
Объяснение:
выразим а 20 через а9 и найдем разность d
найдем а10 и 21
потом найдем сумму с 10 до 21 члена прогрессии
Приложения:
ЗАМЕТЬ, ПОЖАЛУЙСТА, СРОЧНО!!!!!, ПОМОГИ С ФИЗИКОЙ!!!!
❕❕❕❕❕❕❕❕
Вас заинтересует
1 год назад
1 год назад
3 года назад
3 года назад
8 лет назад