• Предмет: Алгебра
  • Автор: Аноним
  • Вопрос задан 2 года назад

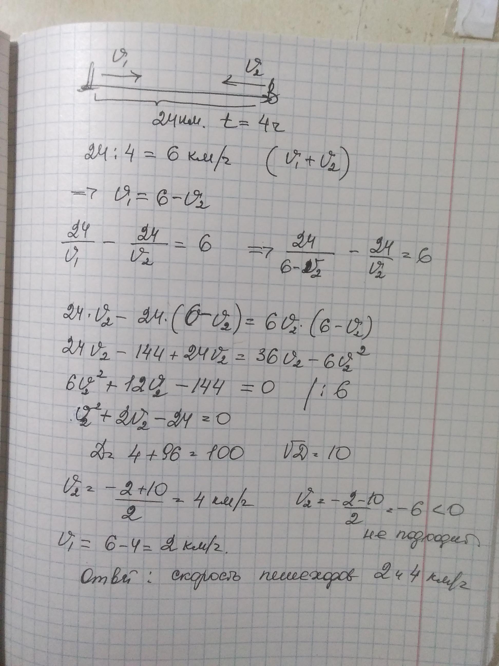
З двох пунктів відстань між якими 24км, одночасна назустріч один одному вирушили два туристи і зустрілись через 4год. Знайти швидкість кожного туриста, якщо один з них витрачає на 6год менше, ніж другий на весь шлях.

Ответы

Ответ дал: MizoriesKun
1

Смотри............................

Приложения:
Вас заинтересует