• Предмет: Алгебра
  • Автор: Viscount
  • Вопрос задан 2 года назад

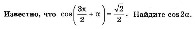
Известно, что cos(3π/2 + a) = √2/2
Найдите cos2a

Приложения:

Ответы

Ответ дал: Universalka
1

\displaystyle\bf\\Cos\Big(\frac{3\pi }{2} +\alpha \Big)=\frac{\sqrt{2} }{2} \\\\\\Cos\Big(\frac{3\pi }{2} +\alpha \Big)=Sin\alpha  \  \  \ \Rightarrow \  \  \ Sin\alpha =\frac{\sqrt{2} }{2} \\\\\\Cos2\alpha =1-2Sin^{2} \alpha =1-2\cdot\Big(\frac{\sqrt{2} }{2} \Big)^{2} =1-2\cdot \frac{1}{2} =1-1=0\\\\\\Otvet \ : \ Cos2\alpha =0

Вас заинтересует