• Предмет: Алгебра
  • Автор: solodkovkosty
  • Вопрос задан 2 года назад

Допоможіть будь ласка!

Приложения:

Ответы

Ответ дал: qngtjxvjkj
0

Ответ:

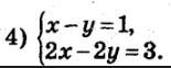
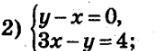
2) (x,y)=(2,2)   4) немае розв'язаня

Объяснение:

Вас заинтересует