Ответы
Ответ дал:
2
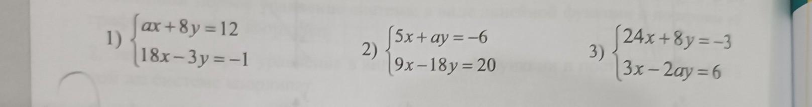
1)а любое число кроме 18, так как при а=18 графики линейных функций будут параллельны, а следовательно система не будет иметь решений;
2)а все числа кроме -10
3)а все числа кроме -0,5
Приложения:

Вас заинтересует
1 год назад
1 год назад
3 года назад
3 года назад
8 лет назад