• Предмет: Математика
  • Автор: steblin2006evel
  • Вопрос задан 2 года назад

Знайти площу фігури, обмеженої лініями y=3x^2 і у=6x

Ответы

Ответ дал: nrkmukhtar
1

Ответ:

можно по руски.

Пошаговое объяснение:

по руски


steblin2006evel: Да
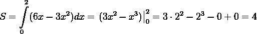
Ответ дал: nastakupcova555
0

Ответ:

Найдём абсциссы точек пересечения графиков друг с другом и с осями координат.

3x² = 6x

3x²-6x = 0

3x·(x-2) = 0

x = 0, x = 2

с OX, y=0

3x² = 0 ⇒ x = 0

6x = 0 ⇒ x = 0

Пошаговое объяснение:

Приложения:
Вас заинтересует