• Предмет: Химия
  • Автор: ovcharenkojyrij
  • Вопрос задан 2 года назад

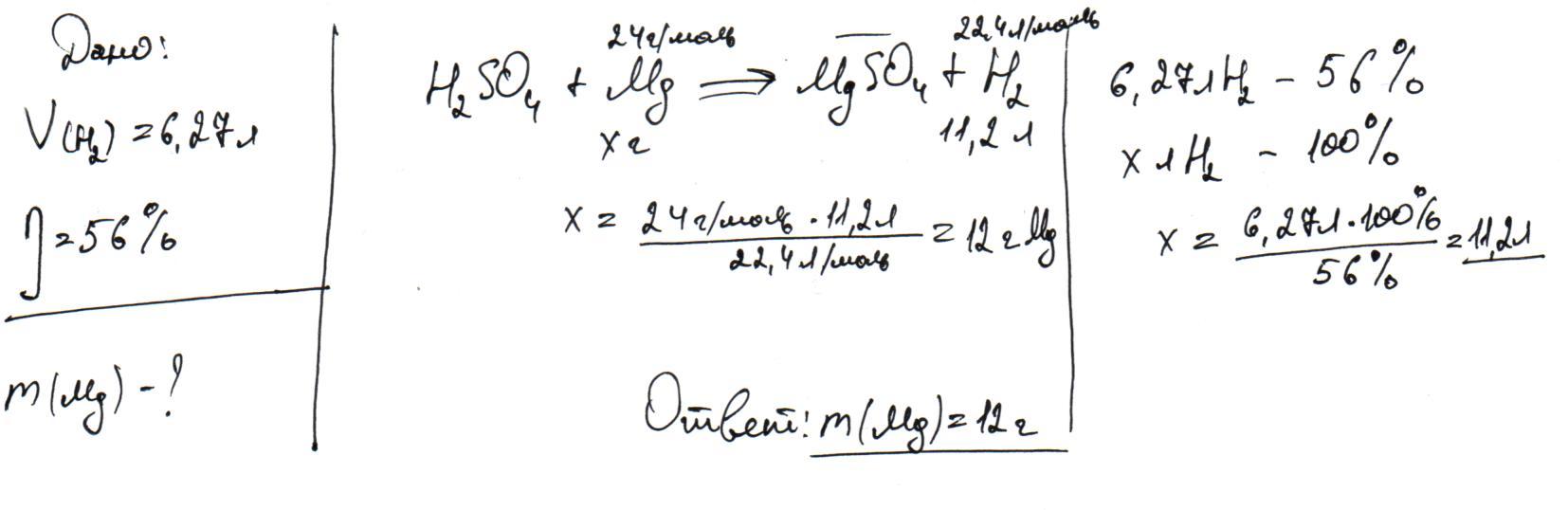
У результаті взаємодії магнію з розчином кислоти H2SO4 виділився водень об'ємом 6,27 л. Визнач масу металу (г), який потрібно використати, якщо відносний вихід водню становить 56 %

Ответы

Ответ дал: Kads1408
0

Ответ на изображении              

Приложения:
Вас заинтересует