• Предмет: Алгебра
  • Автор: rotarv093
  • Вопрос задан 2 года назад

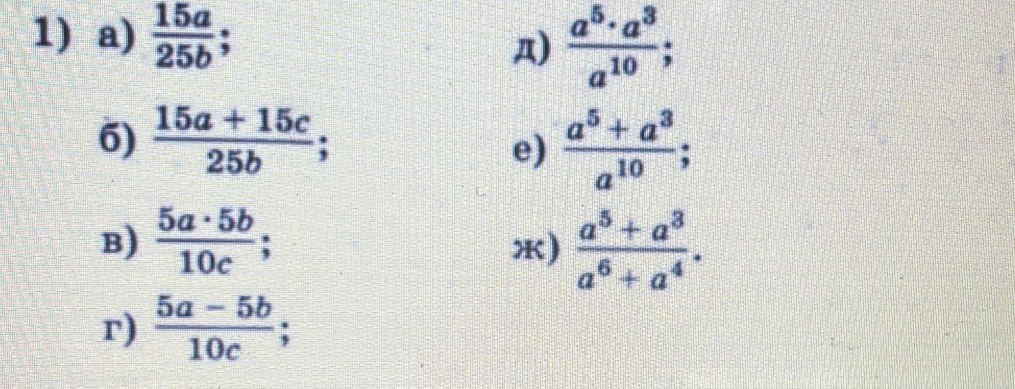
1) а) 15a 256 б) B) Г) 15a +15c 25b 5a-5b 10с 5a - 5b 10c ; дробь: Д) e) ж) as.a3 a ¹0 as + 210 H , + 03​

Приложения:

3212321232123212321: Что нужно сделать?
3212321232123212321: Упростить?

Ответы

Ответ дал: сок111213
3

а)

 \frac{15a}{25b}  =  \frac{5 \times 3a}{5 \times 5b}  =  \frac{3a}{5b}

б)

 \frac{15a + 15c}{25b}  = \frac{5(3a + 3c)}{5 \times 5b}  =  \frac{3a + 3c}{5b}

в)

 \frac{5a \times 5b}{10c}  =  \frac{5ab}{2c}

г)

 \frac{5a - 5b}{10c}  =  \frac{5(a - b)}{5 \times 2c}  =  \frac{a - b}{2c}

д)

 \frac{ {a}^{5}  \times  {a}^{3} }{ {a}^{10} }  =   \frac{ {a}^{8} }{ {a}^{10} }  =  \frac{1}{ {a}^{2} }

е)

 \frac{ {a}^{5} +  {a}^{3}  }{ {a}^{10} }  =  \frac{ {a}^{3}( {a}^{2} + 1)  }{ {a}^{3}  \times  {a}^{7} }  =  \frac{ {a}^{2}  + 1}{ {a}^{7} }

ж)

 \frac{ {a}^{5} +  {a}^{3}  }{ {a}^{6} +  {a}^{4}  }  =  \frac{ {a}^{3} ( {a}^{2} + 1) }{ {a}^{4} ( {a}^{2}  + 1)}  =  \frac{1}{a}

Вас заинтересует