Ответы
Ответ дал:
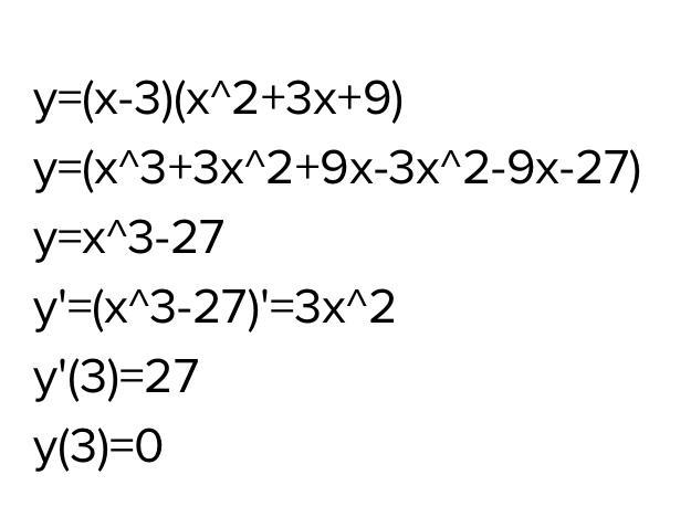
0
Вот я не знаю ли точно правильно
Приложения:

Вектор 3d y/3
Вас заинтересует
1 год назад
1 год назад
1 год назад
3 года назад
3 года назад
8 лет назад