• Предмет: Математика
  • Автор: kawrk
  • Вопрос задан 2 года назад

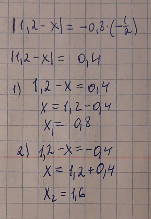
СРОЧНО!!. При яких значеннях х модуль виразу 1,2 – х дорівнює добутку чисел –0,8 і −1/2

Ответы

Ответ дал: сок111213
2

решение уравнения на прикреплённой фотографии

Приложения:

kawrk: Спасибо большое
Вас заинтересует